9.2 管道水力计算

9.2 管道水力计算

9.2.1 采用经济流速是给水系统设计的基础要素,本条规定宜采用经济流速,必要时可采用较高流速。采用较高的管道流速,不利于均衡系统管道的水力特性并加大能耗;为降低管道摩阻而放大管径、采用低流速,将导致管道重量的增加,使设计的经济性能降低。
    我国《给排水设计手册》(第三册)建议,钢管内水的平均流速允许不大于5m/s,铸铁管的允许值为3m/s;
    德国规范规定,必须保证在报警阀与喷头之间的管道内,水流速度不超过10m/s,在组件配件内不超过5m/s。

9.2.2 本条是对原条文的修改。
    管道沿程水头损失的计算,国内外采用的公式有以下几种:
    我国现行国家标准《建筑给水排水设计规范》GB 50015和《室外给水设计规范》GB 50013采用Hazen-Williams(海澄-威廉)公式,即公式(3):

    式中:i——管道单位长度水头损失(kPa/m);
          dj——管道计算内径(m);
          qg——设计流量(m3/s);
          Ch——海澄-威廉系数。
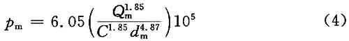
    英、美、日、德等国的自动喷水灭火系统规范,也采用海澄-威廉公式,即公式(4):

    式中:pm——管道每米阻力损失(bar);
          Qm——流量(L/min);
          C——管道材质系数;
          dm——管道实际内径(mm)。
    原规范采用舍维列夫公式,即公式(5)。1953年,舍维列夫根据其对旧铸铁管和旧钢管所进行的试验,提出了该经验公式,因此该公式主要适用于旧铸铁管和旧钢管。

    式中:i——管道的单位长度水头损失(MPa/m);
          V——管道内水或泡沫混合液的平均流速(m/s);
          dj——管道的计算内径(m)。
    为便于比较两计算式计算结果的差异,将公式(5)除以公式(3)得公式(6):

    结合本规范规定,对管径为25mm~200mm,流速为2.5m/s~10m/s的情况,计算得:对于普通钢管,k1介于1.1292~1.8217之间;对于铜管和不锈钢管,k2介于2.1233~2.9600之间。
    当系统采用镀锌钢管时,两个公式的计算结果相差不是很大。当系统采用铜管和不锈钢管时,公式(3)的计算结果要远大于公式(1),若此时还用公式(3)进行计算,势必会造成不必要的经济浪费。而且,对于不锈钢管和铜管,在使用过程中内壁粗糙度增大的情况并不十分明显。因此,宜用公式(1)进行计算。

9.2.3 局部水头损失的计算,英、美、日、德等国规范均采用当量长度法。为与国际惯例保持一致,本规范规定采用当量长度法计算。由于我国缺乏实验数据,故仍采用原规范条文说明中推荐的数据。美国消防协会《自动喷水灭火系统安装标准》的规定见表10。
    日本、德国规范的当量长度表与表10相同。表10中的数据是按管道材质系数C=120计算,当C=100时,需乘以修正系数0.713。

表10 美国规范当量长度表(m)

9.2.4 本条是对原条文的修改和补充。
    本条规定了水泵扬程或系统入口供水压力的计算方法。计算中对报警阀、水流指示器局部水头损失的取值,按照相关的现行标准作了规定,其中湿式报警阀局部水头损失的取值,随产品标准修订后的要求进行了修改。要求生产厂在产品样本中说明此项指标是否符合现行标准的规定,当不符合时,要求提出相应的数据。
    报警阀的局部水头损失,系参照国家标准《自动喷水灭火系统 第4部分 干式报警阀》GB 5135.4-2003和《自动喷水灭火系统 第14部分 预作用装置》GB 5135.14-2011的规定。