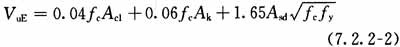
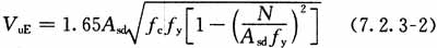
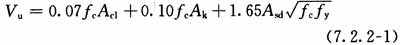
7.2 承载力计算 7.2.1 对一、二、三级抗震等级的装配整体式框架,应进行梁柱节点核心区抗震受剪承载力验算;对四级抗震等级可不进行验算。梁柱节点核心区抗震受剪承载力验算和构造应符合现行国家标准《混凝土结构设计规范》GB 50010和《建筑抗震设计规范》GB 50011中的有关规定。 7.2.2 叠合梁端竖向接缝的受剪承载力设计值应按下列公式计算: 1 持久设计状况 2 地震设计状况 式中:Acl——叠合梁端截面后浇混凝土叠合层截面面积; fc——预制构件混凝土轴心抗压强度设计值; fy——垂直穿过结合面钢筋抗拉强度设计值; Ak——各键槽的根部截面面积(图7.2.2)之和,按后浇键槽根部截面和预制键槽根部截面分别计算,并取二者的较小值; Asd——垂直穿过结合面所有钢筋的面积,包括叠合层内的纵向钢筋。 图7.2.2 叠合梁端受剪承载力计算参数示意 1-后浇节点区;2-后浇混凝土叠合层;3-预制梁;4-预制键槽根部截面;5-后浇键槽根部截面 7.2.3 在地震设计状况下,预制柱底水平接缝的受剪承载力设计值应按下列公式计算: 当预制柱受压时: 当预制柱受拉时: 式中:fc——预制构件混凝土轴心抗压强度设计值; fy——垂直穿过结合面钢筋抗拉强度设计值; N——与剪力设计值V相应的垂直于结合面的轴向力设计值,取绝对值进行计算; Asd——垂直穿过结合面所有钢筋的面积; VuE——地震设计状况下接缝受剪承载力设计值。 7.2.4 混凝土叠合梁的设计应符合本规程和现行国家标准《混凝土结构设计规范》GB 50010中的有关规定。