16.2 疲劳计算

16.2 疲劳计算

16.2.1 本条在原规范第6.2.1条的基础上,增补了许多内容和说明,并将原规范第6.2.1条一分为二,形成第16.2.1条、第16.2.2条两条。当结构所受的应力幅较低时,可采用式(16.2.1-1)和式(16.2.1-4)快速验算疲劳强度。国际上的试验研究表明,无论是常幅疲劳还是变幅疲劳,低于疲劳截止限的应力幅一般不会导致疲劳破坏。
    本次修订参考欧洲钢结构设计规范EC3:Design of steel structures-Part1-9:Fatigue,增加了少量针对构造细节受剪应力幅的疲劳强度计算;同时针对正应力幅的疲劳问题,引入板厚修正系数γt来考虑壁厚效应对横向受力焊缝疲劳强度的影响。国内外大量的疲劳试验采用的试件钢板厚度一般都小于25mm。
    对于板厚大于25mm的构件和连接,主要是横向角焊缝和对接焊缝等横向传力焊缝,试验和理论分析表明,由于板厚引起的焊趾位置的应力集中或应力梯度变化,疲劳强度随着板厚的增加有一定程度的降低,因此需要对容许应力幅针对具体的板厚进行修正。板厚修正系数γt的计算公式(16.2.1-7)参考了国际上钢结构疲劳设计规范,如日本标准JSSC,欧洲钢结构设计规范EC3。
    考虑到非焊接与焊接构件以及连接的不同,即前者一般不存在很高的残余应力,其疲劳寿命不仅与应力幅有关,也与名义最大应力有关,因此为了疲劳强度计算统一采用应力幅的形式,对非焊接构件以及连接引入折算应力幅,以考虑σmax的影响。折算应力幅的表达方式为:

    式中:k——系数,按《钢结构设计规范》TJ 17-74规定:对主体金属:3号钢取k=0.5,16Mn钢取k=0.6;对角焊缝:3号钢取k=0.8,16Mn钢取k=0.85;
          [δp0]——应力比ρ(ρ=σmin/σmax)=0时疲劳容许拉应力,其值与[△σ]相当。
    在《钢结构设计规范》TJ 17-74中,[σp0]考虑了欠载效应系数1.15和动力系数1.1,故其值较高。但本条仅考虑常幅疲劳,应取消欠载效应系数,且[△σ]是试验值,已包含动载效应,所以亦不考虑动力系数。因此[△σ]的取值相当于[σp0]/(1.15×1.1)=0.79[σp0]。另外88版规范以高强螺栓摩擦型连接和带孔试件为代表,将试验数据统计分析,取k=0.7,因此△σ=σmax—0.7σmin
    原规范之前的修订工作,针对常幅疲劳容许应力幅做了两方面的工作,一是收集和汇总各种构件和连接形式的疲劳试验资料;二是以几种主要的形式为出发点,把众多的构件和连接形式归纳分类,每种具体连接以其所属类别给出S-N疲劳曲线和相关参数。为进行统计分析工作,汇集了国内现有资料,个别连接形式(如T形对接焊接等)适当参考了国外资料。根据不同钢号、不同尺寸的同一连接形式的所有试验资料,汇总后按应力幅计算式进行统计分析,以95%置信度取2×106次疲劳应力幅下限值,也就是疲劳试验数据线性回归值(平均值)减去2倍标准差。按各种连接形式疲劳强度的统计参数[非焊接连接形式考虑了最大应力(应力比)实际存在的影响],以构件母材、高强度螺栓连接、带孔、翼缘焊缝、横向加劲肋、横向角焊缝连接和节点板连接等几种主要形式为出发点,适当照顾S-N曲线族的等间距设置,把连接方式和受力特点相似、疲劳强度相近的形式归成同一类,最后确定构件和连接分类有8种。分类后,需要确定S-N曲线斜率值,根据试验结果,绝大多数焊接连接的斜率在—3.0~—3.5之间,部分介于—2.5~—3.0之间,构件母材和非焊接连接则按斜率小于—4,为简化计算取用3和4两种斜率,而在N=2×106次疲劳强度取值略予调整,以免在低循环次数出现疲劳强度过高的现象。S-N曲线确定后,可据此求出任何循环次数下的容许应力幅(即疲劳强度)。
    近20多年来,世界上一些先进国家在钢结构疲劳性能和设计方面开展了大量基础性的试验研究工作,取得了许多成果,发展了钢结构疲劳设计水平,提出了许多构造细节的疲劳强度数据,而我国这方面所做的基础性工作十分有限。鉴于此现状,本次标准修订时,对国际上各国的研究状况和成果进行了广泛的调研和对比分析,在保持原规范疲劳设计已有特点的基础上,借鉴和吸收了欧洲钢结构设计规范EC3钢结构疲劳设计的概念和做法,增加了许多新的内容,使我国可进行钢结构疲劳计算的构造细节更加丰富,具体如下:
    1 将原来8个类别的S-N曲线增加到:针对正应力幅疲劳计算的,有14个类别,为Z1~Z14(见正文表16.2.1-1);针对剪应力幅疲劳计算的,有3个类别,为J1~J3(详见正文表16.2.1-2)。
    2 原来的类别1和2保持不变,即为现在的类别Z1和Z2。原来的类别3、4、5、6、7、8分别放入到最接近现在的类别Z4、Z5、Z6、Z7、Z8、Z10中,在N=2×106时的新老容许应力幅的差别均在5%以内,在工程上可以接受。原来针对角焊缝疲劳计算的类别8,放入到现在的类别J1。
    3 国际上研究表明,对变幅疲劳问题,低应力幅在高周循环阶段的疲劳损伤程度有所较低,且存在一个不会疲劳损伤的截止限。为此,针对正应力幅疲劳强度计算的S-N曲线,在N=5×106次之前的斜率为βZ,在N=5×106~1×108次之间的斜率为βZ+2(见图46)。但是,针对剪应力幅疲劳强度计算的S-N曲线,斜率保持仍不变,为βJ(见图47)。无论是正应力幅还是剪应力幅,均取N=1×108次时的应力幅为疲劳截止限。
    4 在保持原规范19个项次的构造细节的基础上,新增加了23个细节,构成共计38个项次,并按照非焊接、纵向传力焊缝、横向传力焊缝、非传力焊缝、钢管截面、剪应力作用等情况将构造细节进行归类重新编排,同时构造细节的图例表示得更清楚,见附录表K-1~K-6。
    表22以200万次的疲劳强度为例,给出了原有构造细节在修订前后的比较,并指明了新增加的构造细节。欧洲钢结构设计规范EC3构造细节的疲劳强度确定的方法与我国是一致的,即依据疲劳试验数据的线性回归值(平均值)减去2倍标准差。

表22 各构造细节200万次的类别及其疲劳强度(针对附录K-1~K-6)

    正应力幅及剪应力幅的疲劳强度S-N曲线见图46、图47。


图46 关于正应力幅的疲劳强度S-N曲线

16.2.2 对不满足第16.2.1条中式(16.2.1-1)(正应力幅疲劳)、式(16.2.1-4)(剪应力幅疲劳)的常幅疲劳问题,应按照结构预期使用寿命,采用式(16.2.2-1)、式(16.2.2-5)进行疲劳强度计算。
    原规范第6.2.1条对常幅疲劳的计算,无论正应力幅大小如何,将S-N曲线的斜率βZ保持不变,并且一直往下延伸。本次标准修订时,本条文正应力幅的常幅疲劳计算为了与第16.2.3条的变幅疲劳计算相协调和合理衔接,对应力循环次数n在5×106之内的容许正应力幅计算,S-N曲线的斜率采用βZ;对应力循环次数n在5×106与1×108之间的容许正应力幅计算,S-N曲线的斜率采用βZ+2。同时,对正应力幅和剪应力幅的常幅疲劳计算,都在应力循环次数n=1×108处分别设置疲劳截止限[△σL]和[△τL]。

16.2.3 本条为原规范第6.2.2条和第6.2.3条的综合补充说


图47 关于剪应力幅的疲劳强度S-N曲线

明。对不满足本标准第16.2.1条中式(16.2.1-1)(正应力幅疲劳)、式(16.2.1-4)(剪应力幅疲劳)的变幅疲劳问题,提供了按照结构预期使用寿命的等效常幅疲劳强度的计算方法。实际结构中重复作用的荷载,一般并不是固定值,若能根据结构实际的应力状况(应力的测定资料),并按雨流法或泄水法等计数方法进行应力幅的频次统计、预测或估算得到结构的设计应力谱,则可按本条将变幅疲劳转换为应力循环200万次常幅疲劳计算。
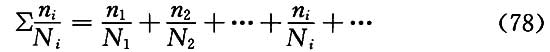
    假设设计应力谱包括应力幅水平△σ1、△σ2、…、△σi、…及对应的循环次数n1、n2、…ni、…,然后按目前国际上通用的Miner线性累计损伤定律进行计算,其原理如下:
    计算部位在某应力幅水平△σi作用有ni次循环,由S-N曲线计算得△σi对应的疲劳寿命为Ni,则△σi应力幅所占损伤率为ni/Ni,对设计应力谱内所有应力幅均做类似的损伤计算,则得:

    从工程应用的角度,粗略地可认为当∑(ni/Ni)=1时发生疲劳破坏。
    计算疲劳累计损伤时还应涉及S-N曲线斜率的变化和截止应力问题。国际上的研究表明:对变幅疲劳问题,常幅疲劳所谓的疲劳极限并不适用;随着疲劳裂纹的扩展,一些低于疲劳极限的低应力幅将成为裂纹扩展的应力幅而加速疲劳累积损伤;低应力幅比高应力幅的疲劳损伤作用要弱,并且也不是任何小的低应力幅都有疲劳损伤作用,小到一定程度就没有损伤作用了。
    原规范采用最简单的损伤处理方式,即保持S-N曲线的斜率不变,认为高应力幅与低应力幅具有相同的损伤效应,且无论多少小的应力幅始终存在损伤作用,这是过于保守的做法,并不切合实际。为此,本次标准修订时,采用欧洲钢结构设计规范EC3国际上认可的做法,即采用本标准第16.2.1条文说明中3的方法来处理低应力幅的损伤作用。
    按照图46与图47及以上Miner损伤定律,可将变幅疲劳问题换算成应力循环200万次的等效常幅疲劳进行计算。以变幅疲劳的等效正应力幅为例(图47),推导过程如下:
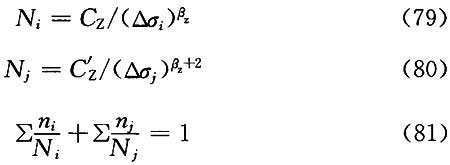
    设有一变幅疲劳,其应力谱由(△σi,ni)和(△σj,nj)两部分组成,总应力循环∑ni+∑nj次后发生疲劳破坏,则按照S-N曲线的方程,分别对每i级的应力幅△σi、频次ni和j级的应力幅△σj、频次nj有:

    式中:CZ、C′Z——斜率βZ和βZ+2的S-N曲线参数。
    由于斜率βZ与βZ+2的两条S-N曲线在N=5×106处交汇,则满足下式:

16.2.4 本条为原规范第6.2.3条的补充说明。本条提出适用于重级工作制吊车梁和重级、中级工作制吊车桁架的简化的疲劳计算公式(16.2.4-1)、式(16.2.4-2)。88版规范在修订时,为掌握吊车梁的实际应力情况,实测了20世纪70年代一些有代表性的车间吊车梁。根据吊车梁应力测定资料,按雨流法进行应力幅频次统计,得到几种主要车间吊车梁的设计应力谱以及用应力循环次数表示的结构设计寿命,并推导了各类车间实测吊车梁的等效应力幅αf△σ,此处△σ为设计应力谱中最大的应力幅,αf为变幅荷载的欠载效应系数。因不同车间实测的应力循环次数不同,为便于比较,统一以n=2×106次的疲劳强度为基准,进一步折算出相对的欠载效应等效系数αf,结果如表23所示:

表23 不同车间的欠载效应等效系数

    分析测定数据时,都将最大实测值视为吊车满负荷设计应力△σ,然后划分应力幅水平级别。事实上,实测应力与设计应力相比,随车间生产工艺的不同(吊车吊重物后,实际运行位置与设计采用的最不利位置不完全相符)而有悬殊差异。如均热炉车间正常的最大实测应力为设计应力的80%以上,炼钢车间为设计应力的50%左右,而水压机车间仅为设计应力的30%。
    考虑到实测条件中的应力状态,难以包括长期使用时各种错综复杂的状况,忽略这一部分欠载效益是偏于安全的。
    根据实测结果,提出本标准表16.2.4供吊车梁疲劳计算的αf值:A6、A7、A8工作级别的重级工作制硬钩吊车取用1.0,A6、A7工作级别的重级工作制软钩吊车为0.8。有关A4、A5工作级别的中级工作制吊车桁架需要进行疲劳验算的规定,是由于实际工程中确有使用尚属频繁而满负荷率较低的一些吊车(如机械工厂的金工、锻工车间),特别是当采用吊车桁架时,有补充疲劳验算的必要,故根据以往分析资料(中级工作制欠载约为重级工作制的1.3倍)推算出相应于n=2×106的αf值约为0.5。至于轻级工作制吊车梁和吊车桁架以及大多数中级工作制吊车梁,根据多年来使用的情况和设计经验,可不进行疲劳计算。
   需要说明的是:表23的计算结果都是基于当时有关“低应力幅与高应力幅有着相同损伤作用(即斜率保持不变),且无论如何小的低应力幅始终有损伤作用”这一保守方法的处理结果,得到的欠载效应等效系数αf会偏高,实际上应该有所减小。然而近30年来工业厂房吊车梁的应用状况发生了很大的变化,吊车使用的频繁程度大幅度提高,依据近10年来的测试数据,采用与88版规范相同的分析方法,得出欠载效应等效系数αf相比过去已有所提高。由于此消彼长的因素,故自88版规范修订以来提出的欠载效应等效系数αf在数值上目前还是适用于吊车梁的疲劳强度计算。