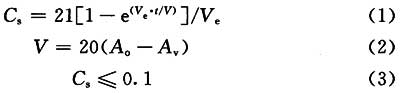
8.2 车站、控制中心、主变电所与车辆基地 8.2.1 一般情况下,地上车站的站厅具有较大面积的外窗,站台为敞开式,具备自然通风和排烟条件。对于不具备开设外窗条件的场所,或建筑造型需要等原因导致在建筑外墙上设置开口的位置与大小不符合自然排烟要求的场所,则需要采用机械排烟方式,以在火灾时有效排除热烟。 8.2.2 本条主要规定了自然排烟口的设置位置和开口面积要求。自然排烟的有效排烟面积与现行国家标准《地铁设计规范》GB 50157的相关规定一致,即不小于该场所建筑面积的2%。当车站采用自然排烟时,因排烟口(窗)位于较高位置或顶部,地铁正常运营时为保证站内较适宜的环境,这些通风口(窗)可能处于关闭状态。火灾时,要求正常情况下处于关闭状态的排烟口(窗)能迅速开启、及时发挥排烟作用。因此常闭的自然排烟口(窗)需设自动和手开启装置。日常已经处于开启的排烟口(窗)则不必设开启装置。 8.2.3 本条根据本标准第8.1.3条规定的基本目标,针对不能采用自然排烟或不能满足自然排烟要求的地下车站的站台公共区、站厅公共区,规定了采用机械排烟方式进行排烟时的气流组织形式。 当站厅发生火灾时,为了防止烟气向出入口通道和站台蔓延,只能对站厅进行排烟,通过出入口自然补风或开启空调箱或送风机通过站台机械补风,使新鲜空气在站厅公共区能逆人员疏散方向流动。根据相关实验,在对站厅进行排烟时通过出入口自然补风的效果良好,有利于阻止烟气向出入口蔓延,并可避免开启空调箱或补风机,降低了采用车站回排风机兼用排烟风机时回风阀关闭不到位所引起的烟气回窜风险。但是,若出入口通道较长、分布不均或出入口处设置了挡风措施(如高寒地区出入口悬挂厚重的门帘),则会影响补风效果,此时仍需考虑采用机械补风方式进行补风。当站台发生火灾时,其排烟和补风的基本要求与站厅公共区相同,站台需进行机械补风时,是通过向站厅送风,通过站台与站厅连通处的楼扶梯口向站台补风。 无论站厅还是站台发生火灾,运营中的地铁,特别是高峰时段,隧道内很可能有列车正向发生火灾的车站行驶。此时,原则上正常行驶的列车不能停站,而需在调度协调下跨站运行。过站列车形成的活塞风甚至会将站厅的烟气下拉至站台,对控烟效果产生很大影响,不利于人员疏散。因此,当车站设置全封闭站台门时,要充分利用封闭的站台门来减小行驶列车所产生的活塞风作用。 8.2.4 本条规定了排烟风机及风管应具备的最小排烟能力。 车站公共区或设备管理用房的排烟量,参照现行国家标准《地铁设计规范》GB 50157规定按防烟分区的建筑面积不小于60m3/ (m2·h)经计算确定。但是轨道区或防烟分区包含轨道区时,该防烟分区中最大的火灾危险来源于列车火灾,与车站公共区的火灾(通常小型火灾为1.0MW~2.5MW,如行李火灾或小型商铺的火灾)规模有很大差异。目前,国内地铁列车的设计火灾规模通常取用7.5MW~10.5MW,采用60m3/(m2·h)的参数来确定排烟系统的排烟量,会造成排烟量低于火灾产生的烟气生成量,不能较好地实现排烟系统的设计目标。此外,当轨道区滞留列车时,列车的体积大,会大大降低整个空间的有效蓄烟能力。因此当防烟分区包含轨道区且采用管道进行排烟时,排烟系统的排烟量应基于列车火灾规模和发生地的空间特点来确定。不过,我国目前尚无适合这种情况的排烟量计算公式。下面介绍日本提出的一种方法供参考。 2007年,日本针对韩国大邱火灾编制了《地铁火灾对策标准与解说》(以下简称《对策标准》),对站台列车火灾及其排烟量做了比较详细的说明。该文件根据1968年的日本列车火灾实验研究结果,总结了列车常规火灾的烟气生成量与时间的关系(见图18)。 图18 列车火灾产烟量曲线 《对策标准》规定,列车发生常规火灾时,若疏散时间控制在7min以内,则排烟量可以按以下公式计算: 式中:Cs——空间内允许的烟气浓度(1/m); Ve——火源区段排烟设备的排烟量(m3/min); V——火源区段的有效容积(m3); t——疏散结束的时间(min); Ao——垂直线路方向的有效面积(扣除柱子、楼梯或扶梯等)(m2); Av——列车横断面积(m2)。 按上述方法计算得到的排烟量为火源区段的最小排烟量,同时还要求火源区段的排烟量Ve不应小于83.3m3/min,整个站台计算长度(或计算防烟分区)的排烟量需按此排烟量进行等比折算。 按照以上原理和计算方法,当计算区段仅为一股轨道的单纯轨道区时,所需排烟量最大,如典型岛式、全封闭站台门车站形式的一侧轨道区。当计算区段包含两股或两股以上的轨道区或者包含站台公共区时,由于蓄烟容积增大,而火灾的烟气生成量相同,计算得到的排烟量小于仅含一股轨道区的排烟量。因此在闭式系统或站台门系统中,与轨道区相通的站台公共区若与轨道区作为同一个防烟分区进行设计时,计算得到的排烟量将远小于仅含一股轨道区时的排烟量。 经计算,当站台有效长度为120m时,一侧轨道区(仅含一股轨道)在有效计算长度内的最小计算排烟量为12.7×104m3/h;当站台有效长度为180m时,一侧轨道区(仅含一股轨道)在有效计算长度内的最小计算排烟量为19.1×104m3/h。其他长度的排烟量,可按站台或轨道区长度进行线性插值法计算。 第4款规定了排烟风机风量的确定。在工程应用中,车站公共区的排烟风机与车站回排风机常设在车站的两端,该排烟系统需承担部分站厅和部分站台的排烟量,若采用正常排风机兼作排烟用途,则可能会使风机选型困难。本标准总则规定地铁防火设计是按一线同一时间同时发生一处火灾进行,对应的消防联动模式也是按此原则设计。如排烟风机的风量按所承担各防烟分区中最大一个分区的排烟量、风管(风道)漏风量及其他防烟分区的排烟口或排烟阀的漏风量之和计算,符合地铁的火灾设计原则,也便于设备选型。 8.2.5 本条规定了机械排烟系统中排烟口和排烟阀的设置要求。 为保证出入口的安全性,考虑工程实施的可行性,本条第3款规定排烟口水平距离安全出口不应小于3.0m。 排烟口的风速过高、距离储烟仓底部太近,容易使烟层被吸穿,降低排烟口的有效排烟量,故本条第3款、第4款对排烟口的位置和排烟风速进行了一定限制。 8.2.6 采用自然补风的风路阻力不应太大,否则会因补风不足而影响控烟效果。自然补风的阻力参照现行国家标准《人民防空工程设计防火规范》GB 50098的要求,规定不应大于50Pa。 补风口与排烟口位于同一防烟分区内时,会干扰烟气层流或导致排烟短路,影响控烟效果。因此要求补风口在储烟仓下部,并与排烟口保持一定距离。 8.2.7 车辆基地的停车库、列检库等场所面积大,且位于地下时大都不具备自然通风条件,在检修期间和列车停放期间存在一定的火灾危险,为便于灭火救援和尽快排除有毒烟气,应设置排烟系统。面积较小的其他厂房可参照现行国家标准《建筑设计防火规范》GB 50016的要求设置排烟系统,其他库外以轨行区为主的交通区域基本无可燃物,亦非人员长期居留场所,且空间高大,因此未要求设排烟设施。 8.2.8 地铁车站设备区的信号、通信及变电所等重点机房均需要设置气体等自动灭火系统。一般情况下,气体或细水雾等自动灭火系统在启动后进行灭火时,需要保证房间的密闭性能。因此在该房间设置开口的风管上除要求设置防火阀外,还要使该防火阀能在灭火系统启动时联动关闭,防止灭火气体通过通风管路泄漏。在确认灭火后,需对房间进行通风换气,故对于密度大于空气密度的灭火介质,考虑到这些物质会积聚在房间的下部,因而要求排风口设置在房间的下部,以利于保证通风效果。 8.2.9 当常闭排烟口(阀)开启时,要求火灾自动报警系统能及时将相关系统转为排烟模式,以进行排烟。当烟气温度高于280℃时,排烟风机入口或排烟干管上的防火阀会熔断关闭,此时应该联动关闭相应的排烟风机,否则会导致管道系统等发生破坏。