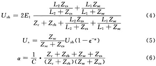
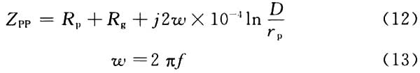
4 电缆附件及附属设备的选择与配置 4.1 一般规定 4.1.1 系原条文4.1.1修改条文。 3 根据国家能源局《防止电力生产事故的二十五项重点要求》(2014)第17.1.4条要求,66kV及以上电压等级电缆的GIS终端和油浸终端宜选择插拔式。 4.1.2 系原条文4.1.2修改条文。 电缆终端的构造类型,随电压等级、电缆绝缘类别、终端装置型式等有所差异。在同一电压级的特定绝缘电缆及其终端装置情况下,终端构造方式可能有多种类型。 66kV以上自容式充油电缆终端构造已基本定型且种类有限,然而XLPE电缆的终端构造类型较多,按照加工工艺和材料可以分为: (1)热收缩附件:所用材料一般为聚乙烯及乙丙橡胶,采用应力管处理应力集中问题,轻便、安装容易,价格便宜,目前主要适用于中低压电压等级。 (2)预制式附件:可分为整体预制式和组装预制式。 预制式终端的主要材料一般为硅橡胶或乙丙橡胶,采用应力锥处理应力集中问题。材料性能优良,安装便捷,价格较贵,主要用于中低压及高压系统。 整体预制式采用无模缝制造工艺,具有良好的耐气候、抗漏痕、抗电蚀能力和憎水性能,防污闪能力强,整个终端为全干式,安装位置、方向灵活,可倾斜安装。 组装预制式按照外绝缘型式分为瓷套式终端和复合绝缘终端,按照套管内是否有绝缘填充物又可分为湿式终端和干式终端,湿式终端内外绝缘之间填充绝缘油或绝缘气体,干式终端内外绝缘紧密贴合。 组装预制式还可按照电缆终端与设备连接类型分户外敞开式终端、SF6电缆终端(GIS终端)和油浸电缆终端(变压器终端),干式终端按安装连接方式分为常规式、插入式和插拔式。 (3)冷缩式附件:一般采用硅橡胶材料,与预制式附件相比,除了材料性能优良、不动火、弹性好,安装更方便快捷,但价格较贵,一般适用于中低压电缆。 通过对国内外主要的高压、超高压电力电缆附件生产厂家进行的调研了解到,国外电缆厂家如:法国耐克森、日本VISCAS、日本JPS、法国Silec、ABB、意大利普瑞斯曼、德国南方公司由于起步较早,在110kV~500kV电缆附件制造方面已经具备了比较成熟的经验。国内已经具备了110kV、220kV电力电缆附件的制造能力,并且110kV、220kV电力电缆附件已基本实现了国产化,500kV电力电缆附件国产化率较低。户外式终端、GIS终端、变压器终端及中间接头的构造类型制造情况见表1、表2。 表1 电缆终端型式 表2 电缆中间接头 4 增加“人员密集场所”宜优先选用复合绝缘终端,是基于安全考虑,瓷套管具有脆性,若事故爆炸产生碎片可能危及人身设备安全。 4.1.5 系原条文4.1.5修改条文。 3 在275kV及以下单芯XLPE电缆线路,直接对电缆实施金属套开断并作绝缘处理,以减免绝缘接头的设置,为最近欧洲、日本开创的新方法。欧洲是在需要实施交叉互联的局部段,剥切其外护层、金属套和外半导电层,且对露出的该段绝缘层实施表面平滑打磨后,再进行绝缘增强和密封防水处理,形成等效于绝缘接头的功能;日本的方法不同之处只是不切剥外半导电层,从而不存在绝缘层表面的再处理(可参见《广东电缆技术》,2002,No.4)。我国在220kV XLPE电缆线路工程已如此实践。这种做法常被称为假绝缘接头。 4 带分支主干电缆(main cable with branches)(有称预分支电缆)是一种在主干电缆多个特定部位实施工厂化预制分支的特殊型式电缆,它的分支接头已被纳入该电缆整体,无须另选用Y形接头。 4.1.6 系原条文4.1.6修改条文。 1 海底电缆接头包括工厂制作的软接头和现场抢修用的抢修接头。工厂接头是在电缆制造过程中在电缆上制作的接头,海底电缆一般应采用连续生产制作的整根电缆,仅在工艺不能满足电缆制造长度要求时才允许有工厂接头。现场抢险用的接头是与工厂接头一样的软接头,其接头的电气和机械性能尽可能与电缆一致。 2 电力电缆,尤其是高压XLPE电缆的接头构造类型较多。接头的装置类型中直通接头与绝缘接头的基本构成相同,此类接头的使用广泛,就高压范围看,充油电缆接头构造几乎已定型,而XLPE电缆随着应用不断扩展和技术进步,其接头选用问题则愈益受到关注。 世界上66kV以上XLPE电缆直通接头的构造类型、特点及其主要应用概况,列示于表3。从不完全的调查所知,除了序号3、5、6等项外,列示的其他类型接头在我国66kV~220kV系统均有不同程度的应用,近年来,采用预制式接头已是较普遍趋向。 虽然66kV~110kV电缆线路原有的TJ多在正常运行,且还将继续,但对于TJ的应用问题,要看到以往采用它是由于接头的构造类型有限,其选择条件不像如今的多样化;TJ的可靠性受人为因素影响较大,是其本质弱点;既然可靠性相对较高的构造类型已不乏供选择,国产PMJ等也已问世,而TJ的应用电压不可能进入220kV级,其发展空间有限,再开发国产绕包机等缺乏实际意义,因此,对于工程设计限制选用TJ,有其积极意义。 表3 66kV及以上XLPE电缆接头构造类型和主要应用概况 4.1.9 系新增条文。 系原条文4.1.2第4款和4.1.6第4款合并条款。 4.1.10 系原条文4.1.9修改条文。 电力电缆的金属套直接接地,是保障人身安全所需,也有利于电缆安全运行。 交流系统中3芯电缆的金属套,在两终端等部位以不少于两点直接接地,正常运行时金属套不感生环流。而交流单芯电缆则要考虑正常运行的时金属套感生环流及其损耗发热影响,故另以第4.1.11条区分要求。 电力电缆的金属套为金属屏蔽层、金属套、金属铠装层的总称,对于既有金属屏蔽层又有金属套的单芯电缆,金属套的接地是指二者均连通接地。 4.1.11 系原条文4.1.10修改条文。 交流单芯电缆金属套的正常感应电势(ES)的推荐算法列于本标准附录F,适合包括并列双回电缆的常用配置方式,它引自日本东京电力公司饭冢喜八郎等编著《》,1994年第2版。以往虽有资料给出ES算法,或较烦琐,或仅示出1回电缆,而并列双回是大多电缆线路工程的一般性情况,忽视相邻回路影响的ES算值,就比实际值偏小而欠安全。 1 50V是交流系统中人体接触带电设备装置的安全容许限值。它基于IEC 61936-1标准中所示人体安全容许电压50V~80V;IEC 61200-413标准按通过人体不危及生命安全的容许电流29mA(试验测定值为30mA~67mA)和人体电阻1725Ω计,推荐在带电接触时容许电压为50V。 2 本款为原标准条文,感应电势允许值在本标准2007版已在94版100V的基础上提升为300V,本次未作实质性修改,但仍需提示有关注意事项如下: (1)随着高压电缆截面和负荷电流的日益增大,在较长距离电缆线路工程,受金属正常感应电势容许值(ESM)仅100V的制约,往往不仅不能采取单点接地,而且交叉互联接地需以较多单元,使得不长的电缆段就需设置绝缘接头。如500kV 1×2500mm2电缆通常三相直列式配置时,每隔约250m就需设置接头;若以品字形配置虽可增大距离,但在沟道中会使蛇形敷设施工困难,且支架的承受荷载过重、载流量较小以及安全性降低,因而靠限制电缆三相配置方式并非上策。 又基于超高压电缆的接头造价昂贵,且接头数量若多,不仅安装工作量大、工期长,且将影响运行可靠性降低,因而,近些年日本、欧洲在大幅度增加电缆制造长度的同时,还采取提升ESM的做法,以作为一揽子对策。如:日本中部电力公司海部线275kV 1×2500mm2 XLPE电缆23km长,实施5个交叉互联单元,平均4300m长单元的3个区间段中,最长段按电缆制造长度1800m考虑;福冈220kV 1×2000mm2 XLPE电缆线路2.8km长,若按以往电缆制造长度约500m,需实施2个交叉互联单元,现可采取1个交叉互联,其最长区段按电缆制造长度增加为1050m考虑,由于接头减少,工程总投资节省了5%;其他还有类似的工程实践,都具有ES达200V~300V的特点(参见《电气评论》,1997.7和《フジクラ技报》,1998.10等)。英国国家电网公司曾对已运行30年的21km长275kV电缆线路进行改造,研究了由原来的28个交叉互联单元缩减为7个,交叉互联单元段长度增至2955m~3099m,其中最大ES达214V;西班牙马德里地区400kV 1×2500mm2 XLPE电缆12.7km长输电干线,采取5个交叉互联单元,单元中最长区段按电缆制造长度850m考虑,ES达263V~317V,该线路于2004年建成运行(参见IEEE TPD,2003,Vol.18,No.3和Transmission&Distribution World,2005,8)。 (2)原标准94版规定ESM≤100V,主要是参照日本1979年出版的《地中送电规程》(JEAC、6021),该规程2000年修订版取消100V,改为在采取有效绝缘防护时不大于300V;着有绝缘防护用具或带电作业器具时不大于7000V(见《地中送电规程》JEAC 6021-2000)。此外,IEC的有关标准迄今未显示ESM值,然而在国际大电网会议(CIGRE)的有关专题论述中,曾涉及ESM的提升,20世纪70年代,当时一般按ESM为50V~65V的情况下,CIGRE有撰文提出,在人体不能任意接触的情况下,ESM可取60V~100V;2000年CIGRE的论述则提出ESM可取400V。美国电子电气工程师学会(IEEE)较早的标准《交流单相电缆金属层连接方式适用性以及电缆金属层感应电势和电流的计算导则》IEEE Std 575-1988规定:应以安全性限制ES,却未明示ESM值,只指出按通常电缆外护层的绝缘性,ESM可达300V但需以600V为限;该导则附录中还示出当时北美地区电缆工程实践的ES最大值:美国60V~90V,加拿大100V,均比同期欧洲广泛以65V的做法要高。最新IEEE Std 575-2014标准附录C载有部分国家取值情况,美国100V~200V,紧急负荷下为275V,至少有一条地下电缆系统在紧急负荷下为447V,加拿大300V~400V,荷兰400V,法国200V(最大未超过400V),澳大利亚250V,日本200V。 (3)ESM超出50V时,不论是100V抑或300V,都属于人体不能任意接触需安全防护的范畴,这一电压终究不很高,在考虑工作人员万一可能带电接触,如电缆外护层破损有金属套裸露时,运行管理中可明确需着绝缘靴或设绝缘垫等;至于在终端或绝缘头有局部裸露金属,除了可设置警示牌外,对安置场所可采取埋设均压带或设置局部范围绝缘垫等措施。 (4)ESM值由100V提升至300V,对于电缆护层电压限制器的三相配置接线与参数匹配,有如下考虑: 1)由于金属套上电气通路远离直接接地点的ES值较以往可能增大3倍,在系统发生短路时该处的工频过电压Uov相应也将比以往情况增大3倍,为使装设于该处的护层电压限制器承受的Uov不致过高,可把三相接线由过去的Y0改为采取△或Y等,从而使作用于护层电压限制器的Uov可降至Y0时的1/倍或1/2倍或者更低。 2)护层电压限制器的残压Ur不得超出电缆外护层冲击过电压作用时的保护水平UL,其工频耐压UR应满足UR≥Uov,是其参数选择匹配原则。如果因Uov比以往显著增大而不再满足该关系式,其方法之一是添加阀片串联数来提高UR,但伴随着Ur会增大,需验核Ur≤UL是否仍满足。近年日本的工程为适应ESM提升,曾采用此方法实践,或有启迪性。 3)若上述1)、2)尚不足以适应,可促使开发更佳参数的护层电压限制器,也并不存在克服不了的技术障碍。 (5)提升ESM的积极意义是减免单芯电缆线路接头的配置,既降低工程造价和缩短工期,又有利于增强电缆线路系统的可靠性。电压等级越高,其效益越明显。此外,还将会促使我国生产厂家增大电缆制造长度,随之更有助于上述积极意义的体现。总之,我国经济形势持续高涨下,高压、超高压的大截面单芯电缆线路工程建设将不断发展,提升ESM仅每年投资节省费估计将超过百万元或千万元以上。 4.1.12 系原条文4.1.11修改条文。 本条系对电缆金属套的接地方式做原则性规定,对交流系统单芯电力电缆线路一端、中央部位单点直接接地以及交叉互联接地方式下电缆护层绝缘水平、护层电压限制器选择,还需根据电缆长度、电缆输送容量、雷电冲击电压、操作冲击电压、单相接地短路电流、电缆敷设方式、电缆本体参数、护层电压限制器参数等进行计算,确保护层电压限制器参数与外护层的绝缘水平配合,满足保护水平要求。 4.1.13 系原条文4.1.12修改条文。 单芯电力电缆及其接头的外护层和终端支座、绝缘接头的金属套绝缘分隔、GIS终端的绝缘筒这三个部位,冲击耐压指标在国内外标准有不尽全面的各自规定,现列于表4。 表4 国内外标准中载列单芯电缆及其附件的冲击耐压(kV)指标 为评估电缆系统上述部位可能作用的暂态过电压,可经由计算或测试两个途径,简述如下: (1)按电缆连接特征的等价电路求算: 1)电缆与架空线直接相连的情况,外护层的雷电冲击过电压算法: ①首侧终端接地、电缆尾侧金属套开路端的冲击过电压USA的表达式: 式中:E——雷电进行波幅值(kV); Zo——架空线波阻抗(Ω),一般为400Ω~600Ω; Zc——电缆导体与金属套之间波阻抗(Ω); Zse——电缆金属套与大地之间波阻抗(Ω); R——金属套接地电阻(Ω)。 Zc、Zse——与电缆规格、型式和敷设方式有关,尤其后者影响差异较明显。理论计算值与实测值往往有较大差异,现从日本和国际大电网会议(CIGRE)文献中摘列部分Zc、Zse值,列于表5。 表5 部分单芯电缆Zc、Zse值 2)电缆直连GIS终端的绝缘筒,因断路器切合时产生操作过电压,具有约20MHz高频衰减振荡波和波头长0.1μs陡度的特征,该行波沿电缆导体侵入,在金属套感生暂态过电压的相关因素和等价电路,如图1所示,可得到绝缘筒间过电压(Uab)、电缆金属套对地过电压(Us)的表达式: 式中:E1——GIS的断路器切合过电压沿电缆导体进行波幅值(kV); Zcb——气体绝缘母线的导体与护层间波阻抗(Ω); Zcs——气体绝缘母线的护层与大地间波阻抗(Ω); L1、L2——气体绝缘母线和电缆的各自接地线感抗(Ω); C——两护层间的杂散电容(F)。 其余符号含义同上。 以上算法虽不复杂,然而在工程设计中要确定准确的有关参数,一般较难办。 图1 电缆直接GIS终端绝缘筒的暂态过电压计算用等价电路 (2)经由实际系统的测试结果评估。迄今所见,主要有日本报道过66kV及以上单芯电缆线路的系列实际测试,现摘列部分结果如下: 1)对于66kV~275kV电缆未设置护层电压限制器情况,自20世纪80年代起先后进行过10次以上测试,电缆线路金属套对地暂态过电压(Us)分别达45.6kV、100kV~219kV、90kV~246kV(相应额定电压级为66kV、154kV、275kV),均已超出电缆外护层绝缘耐压水平。 此外,系列66kV~154kV电缆具有多个交叉互联单元的长线路测试数据,显示了电缆线路首端(雷电波侵入侧;若线路另一侧直连架空线,则存在两侧首端)起始1个~2个交叉互联单元的Us才有超过耐压值情况,其后的Us均在耐压水平以下。虽然如此,但日本对275kV及以上电缆线路所有的绝缘接头,均仍设置护层电压限制器以策安全。 2)66kV~275kV电缆直连GIS终端的绝缘筒,在3种不同条件电缆线路的测试结果,Uab分别达44.9kV、52.4kV、104.4kV、186.6kV(相应额定电压级为66kV、77kV、154kV、275kV),均超出耐压值,若在绝缘筒并联0.03μF电容或护层电压限制器,则测得Uab不超过6kV~14kV,证实有效(参见日本《电气学会技术报告》第366号(1991)、第527号(1994)等专题论述)。 (3)基于以上论述可进而就本条文内容解释: 1)单芯电缆的外护层等三个部位,在运行中承受可能的暂态过电压,如雷电波或断路器操作、系统短路时所产生,若作用幅值超出这些部位的耐压指标时,就应附加护层电压限制器保护,是作为原则要求。 2)因35kV以上电缆系统的Us实测有超出耐压值情况,又考虑通常对具体工程难以确切判明,为安全计就一般而论,均需实施过电压保护。如果有工程经实测或确切计算认为无须采取,则属“一般”之外。 3)35kV及以下单芯电缆以往多未装设护层电压限制器,经年运行尚未反映有过电压问题;而实测Us随额定电压由高至低有较大幅度变小的趋势,况且设置后若选用不当(如工频过电压的热损坏)也会带来弊病,故与35kV以上的对策宜有所区分。鉴于国内有的35kV电缆工程近也设置护层电压限制器,利于安全的积极意义,需引起重视,现综合都反映于条文中。 4)关于第1款第3项,首先需指出,我国迄今使用电缆直连GIS终端为国外引进产品,国内有关标准尚无GIS终端的绝缘筒耐压指标,现基于第1款第2项,并借鉴日本《地中送电规程》(JEAC 6021-2000)(如图2所示)拟定此对策。其次在用词上并未以“应”而取“宜”,是考虑到一旦若选用较高的耐压指标而确能耐受Uab时,保护措施或将免除。 图2 GIS终端绝缘筒及其接地和保护示意 (4)增加第3款。 电缆护层电压限制器正常运行时承受的由负载电流引起电缆护套感应电压只有几十伏,最大不超过300V,可忽略不计,采用单相接地短路电流引起的感应电压作为电压限制器的持续电压,这点与常规避雷器有区别,其持续运行电压的计算应满足现行国家标准《交流金属氧化物避雷器的选择和使用导则》GB/T 28547-2012的有关规定。 采取敷设回流线方式来降低工频感应过电压只是对单点接地或中点接地电缆线路有效。交叉互联接地的电缆线路本身不需要装设回流线,原因是电缆线路交叉互联的每一大段的两端接地,当线路发生单相接地短路时,如接地电流不通过大地,则每相的金属护层通过1/3的接地电流,此时的金属护套相当于回流线,而每一小段金属护套的对地电压也就是绝缘接头的对地电压,此电压只是单端接地线路加回流线时的1/3,同时电缆线路对临近的辅助电缆的感应电压也很小,因此,交叉互联接地的电缆线路不需再加回流线。 4.1.14 系原条文4.1.13修改条文。 现行的电缆用护层电压限制器(Sheath Voltage Limiter,SVL)主体为无间隙的氧化锌阀片,具有电压为电流函数的非线性变化特征,其特征参数含:①起始动作电压U1mA;②残压Ur;③一定时间内的工频耐压UAC.t。 1 雷电波侵入或断路器操作时产生的冲击感应过电压,使SVL动作形成的Ur,不致超过电缆护层绝缘耐受水平,是作为其功能的基本要素之一。Ur乘以1.4是计入绝缘配合系数。 2 电缆金属套相连的SVL,在系统正常运行时所承受几百伏内的电压下,具有很高的电阻性犹如对地隔断状态;当系统短路时产生的工频过电压(UOA.AC)在短路切除时间(tk)内不超出UAC.t时,则SVL能保持正常工作。 我国现行SVL用的串联阀片,显示有单个阀片的特性参数,其UAC.t按2s给出。日本66kV~275kV电缆系统用的整体SVL示出参数含有U1mA≥4.5kV,Ur≤14kV;另对SVL在工频过电压下是否出现热损坏的界定,曾基于系列试验归纳出电压、时间临界关系曲线,如tk为0.2s或2s时,不发生热破坏的相应临界工频电压为6.4kV或6kV(参见《电气评论》1997年7月号载“电力ケーグル防食层保护装置の适用基准”)。 就tk值的确定而论,不同电压级系统继电保护与断路器动作的可靠性统计显示了tk存在差别,如日本1984~1991年根据3大电力系统实际,按电压级500kV、275kV、154kV及以下,推荐tk相应为0.2s、0.4s、2s(见《电气学会技术报告》第527号,1994);英国则按继电保护的第2级动作来择取tk(见G.F.Moore,Electric Cables Handbook,1997),IEEE Std 575-2014中7.5条给出建议,为了满足断路器重合闸要求,tk按照继电保护最大动作时间的2倍考虑,按我国现行继电保护规范和部分运行统计,6kV线路后备保护时间约为1.45s,110kV线路后备保护最大时间约为1.9s,220kV~500kV后备保护最大时间约为1.5s,110kV及以下取2s与日本154kV基本相同,220kV和500kV则相对有较大裕度,与英国采用后备保护时间是一致的。若仍按原条文tk统一按5s以内计诚然偏安全,但考虑到正常感应电势提升至300V后(提升电压也是为了减少电缆接头和施工工程量,提高线路可靠性,见本标准第4.1.11条说明),且随着电力系统容量规模越来越大,致使系统发生单相接地短路电流较过去有较大增加,增大的单相接地短路电流将会使金属套不接地端工频感应过电压UOV.AC值比以往会增大,给SVL的UAC.t选择可能带来困难,为了适应系统的这一较大变化,既满足SVL工频耐受过电压要求,又不至于采用缩短单点接地方式的电缆长度或缩短交叉互联每个电缆小段的长度来适应这一情况,进而减少了电缆中间接头数量和施工工程量,可提高线路运行可靠性,减少工程投资,故本次修订将“切除故障时间应按5s以内计算”改为“切除故障时间应按2s计算”。 根据护层电压限制器工频耐受电压时间特性,相同型号的护层电压限制器,因时间缩短,其工频耐受电压值相应增加。本次修订将tk改为2s后,对减少电缆工程投资具有积极意义。 4.1.15 系原条文4.1.14保留条文。 (1)单点接地方式电缆线路的SVL接线配置方式有Y0、Y或△。一般安置SVL的环境较潮湿,△法、Y法的SVL需保持对地绝缘性,且不及Y0法易于实施阀片的老化检测,故以往实践中多使用Y0法,且三相装一箱,其中每台SVL还配置连接片或隔离刀闸。又△法比Y0法的抑制过电压效果较好,但承受工频过电压却是Y0法的1.73倍;Y法则比Y0法的工频过电压稍低,它适合接地电阻大于0.2Ω情况。 (2)交叉互联电缆线路在绝缘接头部位,设置SVL的三相连接方式有多种提议,主要有4种方式:①Y0;②△或桥形不接地;③桥形接地;④△加Y0双重式。日本《地中送电规程》JEAC 6021-2000载有①~③示例,如图3所示。 图3 交叉互联线路设置护层电压限制器的三相接线方式 从暂态过电压保护效果看,按最佳到较差的方式顺序依次有④>③>②>①;就方式②与方式③相比,如果保护回路一旦断线时,对地的暂态感应电势(Us)二者虽相当,但绝缘接头金属套绝缘分隔的跨接暂态感应电势(UAA),方式②比方式③显著较高;就连接线长度影响而论,方式①的连接线比方式②、方式③长,一般达2m~10m或电缆直埋时可能更长,暂态冲击波沿连接的波阻产生压降,与SVL的Ur一起叠加作用之Us,前者就往往占有相当份额,而方式③跨接于绝缘接头的SVL以铜排连接时长度只有0.02m~0.2m。 从系统短路时产生UOV.AC作用于SVL的大小来看,方式①为方式②的1/,方式③为方式②的1/2。 从运行中定期需进行检测的方便性来看,带有隔离刀闸的Y0接线方式①就有其优点。 英国等欧洲电缆直埋线路曾广泛使用Y0接线,日本以往曾用Y0接线,近年则主要采取上述方式②、方式③,也有采取方式②与方式①联合方式。 (3)SVL连接回路的要求,除了从电气性协调一致考虑外,还从实际使用条件以及经验启迪所归纳,尤其是直埋电缆的环境。例如:英国直埋电缆线路设置的SVL箱,按可能处于1m深水中条件做防水密封;箱壳顶采取钟罩式;箱体采取铸铁或不锈钢;箱内绝缘支承用瓷质件;对同轴电缆引入处加密封套;部分空隙以沥青化合物充填等。国际大电网会议(CIGRE)的有关导则也强调箱体应密封防潮。又如我国工程实践,有的箱底胶木板在运行中受潮丧失绝缘性,同轴电缆未与它充分隔开时,进行绝缘检测易出现误判等。 在国内实际使用中,常发生接地箱漏水导致故障情况,不少工程中已将SVL箱的防护等级提高至IP65,工程设计时需引起重视。 4.1.16 系原条文4.1.15修改条文。 工程实践显示,一般在单点接地方式下设置回流线将使电缆线路的允许距离显著增长,对抑制电缆护层短路工频过电压UOV.AC效果较好。 如UOV.AC值增高超出SVL的UAC.t时,交叉互联接地具有的使SVL由△接法改变为Y0、桥形接地来降低UOV.AC之途径,对单点接地方式却不适应,需以回流线的设置来适应。 4.1.17 系原条文4.1.16修改条文。 110kV及以上交流系统中性点为直接接地,系统发生单相接地短路时,在金属套单点接地的电缆线路中沿金属套产生的UOV.AC有下列表达式: 式中:D——地中电流穿透深度(m),当f=50Hz时,D=93.18,ρ为土壤电阻率(Ω·m),通常为20~100;直埋取50~100; R——金属套单点接地处的接地电阻(Ω); Rp和R1、R2——回流线电阻(Ω/km)及其两端的接地电阻(Ω); Rg——大地的漏电电阻(Ω/km),Rg=π2×f×10-4=0.0493; rp、rs——回流线导体、电缆金属套的平均半径(m); s——回流线至相邻最近一相电缆的距离(m); Ik——短路电流(kA); f——工作频率(Hz); l——电缆线路计算长度(km);当SVL设置于线路中央或者设置于两侧终端而在线路中央直接接地时,l为两侧终端之间线路长度的一半。 运用式(7)~式(9)的一般结果显示:式(7)中R占相当份额,同一条件下有式(8)比式(7)式算值小,式(9)比式(8)算值较小因而比式(7)算值更小。由此,本条第3款和第1款的前一段得以释明,后一段则指系统短路时在回流线感生的暂态环流,按发热温升不致熔融导体是保持继续使用功能的最低要求,现以热稳定计是留有充分的安全裕度。 需指出,当电缆并非直埋或排管敷设而是在隧道、沟道中,则金属支架接地的连接线就具有一定程度的回流线功能。 4.1.18 系原条文4.1.17修改条文。 温度在线监测目前普遍采用的是基于分布式温度传感技术的电缆温度在线监测系统,该技术利用光时域反射原理、激光拉曼光谱原理,经波分复用器、光电检测器等对采集的温度信息进行放大并将温度信息实时地计算出来。在日本、欧洲及韩国等发达国家的电力公司,对于超过110kV的高压电缆均要求采用分布式测温设备。根据本标准《高压、超高压电力电缆及附件制造、使用和运行情况》调研报告,主要对高压、超高压电力电缆在线监测系统使用较多的广东、广西等进行了调研和统计,如表6所示。 表6 电缆线路在线监测类型情况统计表(台、套) 实际工程中,高压电缆在线监测根据电缆重要程度往往只装设了一种或两种。如国内某变电站线路工程,由于受变电站周边场地的制约,变电站侧3回110kV进线采用电缆线路与系统相连,每回电缆线路约0.6km。该段电缆线路全程采用电缆沟+排管敷设方式。 电缆型式:单芯铜导体、交联聚乙烯绝缘,波纹铝护套、聚氯乙烯外护套电力电缆。电缆截面:1×630mm2。 该电缆线路设置一套分布式光纤测温系统实现对电缆线路的在线监测功能。分布式光纤测温系统由主机、传感光纤及其他配置组合而成,可连续测量、准确定位整条光纤所处空间各点的温度,通过光纤上的温度的变化来检测出光纤所处环境变化,当电缆温度超过报警限值时,发出报警信息,并显示报警点位置及温度。在掌握电缆全线的表面温度后,通过专用软件计算电缆线芯温度和电缆负载率,为线路调度提供依据。 总体结构图如图4所示。 图4 电缆线路在线监测总体结构图 分布式光纤测温及电缆载流量在线监测系统可实现以下主要功能: (1)温度监测功能:具备实时监测记录电缆的全程不间断运行温度。 (2)温度监测和温度异常报警功能:通过对电缆表面温度、环境温度的监测,及时发现电缆运行过程中出现的问题以及运行电缆周围环境的突变,具备最高温度报警、温升速率报警、平均温度报警、系统故障报警、光纤断裂报警等功能,并能显示、记录测温数据、报警位置等信息。 (3)载流能力评估功能:能对测量的电缆温度数据进行分析,即根据电缆表面温度及其他相关数据计算出电缆导体运行温度,以及目前运行状态下电缆的最大稳态载流量,并生成相应的负荷曲线(含实时负荷曲线和最大允许的负荷曲线)。 (4)在紧急状态下载流能力评估功能:给定过载电流和过载时间可以计算出电缆的过载温度,给定过载电流和最高允许温度可以计算过载时间,给定过载时间和最高允许温度可计算最大允许过载电流。 (5)动态载流量分析功能(日负荷):能对测量的电缆温度数据进行分析,即根据电缆表面温度、实时电流及其他相关数据实时计算出电缆导体温度;给出未来许用电流的预测,给定预设电流可以计算出电缆安全运行时间。 (6)海底电缆温度在线监测系统通过海缆自带的一根单模光纤或增设一根多模光纤实时监测长距离海缆的表面温度、导体温度及载流量,及时发现海缆过热点、异常点,保障海缆的安全运行,是海缆预防性维护的必要的基础设施,能够大幅降低海缆故障以后带来的昂贵的维护成本。 因此,鉴于目前在线温度监测装置制造水平不断提高,根据本标准《高压、超高压电力电缆及附件制造、使用和运行情况》调研报告情况和实际工程也有较多成熟的应用,且装设对电缆运行有一定的监测作用,对提高高压电缆线路运行管理水平有较好作用。 4.1.19 系原条文4.1.18修改条文。 110kV及以上高压电缆线路金属套通常采用单端接地或交叉互联接地,此时金属套内电流只有很小的电容电流或环流电流。若电缆金属套外护套发生破损接地,则会在金属套、接地线内产生明显较大的电流。该电流可能导致电缆温度升高,进而导致绝缘加快老化。高压电缆护层电流监测装置通过在电缆护层接地线上安装一套接地电流采集装置,实现对电缆接地电流的实时监控,一旦电缆发生故障,装置会马上发出报警,提示相关人员对电缆故障进行及时处理,可提高电缆运行的安全性。装置主要应用于交叉互联系统护层接地电流监测、保护接地线监测、直接接地线监测、GIS终端接地线监测等方面。装置直接采用电流互感器进行采样、监测。其原理示意图如图5、图6所示。 图6 交叉互联接地电缆、接地电流在线监测系统 4.1.20 系新增条文。