8.6 钢 柱 脚

8.6 钢 柱 脚

8.6.1 钢柱柱脚包括外露式柱脚、外包式柱脚和埋入式柱脚三类(图8.6.1-1)。抗震设计时,宜优先采用埋入式;外包式柱脚可在有地下室的高层民用建筑中采用。各类柱脚均应进行受压、受弯、受剪承载力计算,其轴力、弯矩、剪力的设计值取钢柱底部的相应设计值。各类柱脚构造应分别符合下列规定:
    1 钢柱外露式柱脚应通过底板锚栓固定于混凝土基础上(图8.6.1-1a),高层民用建筑的钢柱应采用刚接柱脚。三级及以上抗震等级时,锚栓截面面积不宜小于钢柱下端截面积的20%。
    2 钢柱外包式柱脚由钢柱脚和外包混凝土组成,位于混凝土基础顶面以上(图8.6.1-1b),钢柱脚与基础的连接应采用抗弯连接。外包混凝土的高度不应小于钢柱截面高度的2.5倍,且从柱脚底板到外包层顶部箍筋的距离与外包混凝土宽度之比不应小于1.0。外包层内纵向受力钢筋在基础内的锚固长度(la,laE)应根据现行国家标准《混凝土结构设计规范》GB 50010的有关规定确定,且四角主筋的上、下都应加弯钩,弯钩投影长度不应小于15d;外包层中应配置箍筋,箍筋的直径、间距和配箍率应符合现行国家标准《混凝土结构设计规范》GB 50010中钢筋混凝土柱的要求;外包层顶部箍筋应加密且不应少于3道,其间距不应大于50mm。外包部分的钢柱翼缘表面宜设置栓钉。
    3 钢柱埋入式柱脚是将柱脚埋入混凝土基础内(图8.6.1-1c),H形截面柱的埋置深度不应小于钢柱截面高度的2倍,箱形柱的埋置深度不应小于柱截面长边的2.5倍,圆管柱的埋置深度不应小于柱外径的3倍;钢柱脚底板应设置锚栓与下部混凝土连接。钢柱埋入部分的侧边混凝土保护层厚度要求(图8.6.1-2a):C1不得小于钢柱受弯方向截面高度的一半,且不小于250mm,C2不得小于钢柱受弯方向截面高度的2/3,且不小于400mm。


图8.6.1-1 柱脚的不同形式
1-基础;2-锚栓;3-底板;4-无收缩砂浆;5-抗剪键;6-主筋;7-箍筋

    钢柱埋入部分的四角应设置竖向钢筋,四周应配置箍筋,箍筋直径不应小于10mm,其间距不大于250mm;在边柱和角柱柱脚中,埋入部分的顶部和底部尚应设置U形钢筋(图8.6.1-2b),U形钢筋的开口应向内;U形钢筋的锚固长度应从钢柱内侧算起,锚固长度(la,laE)应根据现行国家标准《混凝土结构设计规范》GB 50010的有关规定确定。埋入部分的柱表面宜设置栓钉。


图8.6.1-2 埋入式柱脚的其他构造要求
1-U形加强筋(二根)

    在混凝土基础顶部,钢柱应设置水平加劲肋。当箱形柱壁板宽厚比大于30时,应在埋入部分的顶部设置隔板;也可在箱形柱的埋入部分填充混凝土,当混凝土填充至基础顶部以上1倍箱形截面高度时,埋入部分的顶部可不设隔板。
    4 钢柱柱脚的底板均应布置锚栓按抗弯连接设计(图8.6.1-3),锚栓埋入长度不应小于其直径的25倍,锚栓底部应设锚板或弯钩,锚板厚度宜大于1.3倍锚栓直径。应保证锚栓四周及底部的混凝土有足够厚度,避免基础冲切破坏;锚栓应按混凝土基础要求设置保护层。


图8.6.1-3 抗弯连接钢柱底板形状和锚栓的配置

    5 埋入式柱脚不宜采用冷成型箱形柱。

8.6.2 外露式柱脚的设计应符合下列规定:
    1 钢柱轴力由底板直接传至混凝土基础,按现行国家标准《混凝土结构设计规范》GB 50010验算柱脚底板下混凝土的局部承压,承压面积为底板面积。
    2 在轴力和弯矩作用下计算所需锚栓面积,应按下式验算:

    式中:M——柱脚弯矩设计值(kN·m);
          M1——在轴力与弯矩作用下按钢筋混凝土压弯构件截面设计方法计算的柱脚受弯承载力(kN·m)。设截面为底板面积,由受拉边的锚栓单独承受拉力,混凝土基础单独承受压力,受压边的锚栓不参加工作,锚栓和混凝土的强度均取设计值。
    3 抗震设计时,在柱与柱脚连接处,柱可能出现塑性铰的柱脚极限受弯承载力应大于钢柱的全塑性抗弯承载力,应按下式验算:

    式中:Mpc——考虑轴力时柱的全塑性受弯承载力(kN·m),按本规程第8.1.5条的规定计算;
          Mu——考虑轴力时柱脚的极限受弯承载力(kN·m),按本条第2款中计算M1的方法计算,但锚栓和混凝土的强度均取标准值。
    4 钢柱底部的剪力可由底板与混凝土之间的摩擦力传递,摩擦系数取0.4;当剪力大于底板下的摩擦力时,应设置抗剪键,由抗剪键承受全部剪力;也可由锚栓抵抗全部剪力,此时底板上的锚栓孔直径不应大于锚栓直径加5mm,且锚栓垫片下应设置盖板,盖板与柱底板焊接,并计算焊缝的抗剪强度。当锚栓同时受拉、受剪时,单根锚栓的承载力应按下式计算:

    式中:Nt——单根锚栓承受的拉力设计值(N);
          Vv——单根锚栓承受的剪力设计值(N);
          Nat——单根锚栓的受拉承载力(N),取Nat=Aefat
          Vav——单根锚栓的受剪承载力(N),取Vav=Aefav
          Ae——单根锚栓截面面积(mm2);
          fat——锚栓钢材的抗拉强度设计值(N/mm2);
          fav——锚栓钢材的抗剪强度设计值(N/mm2)。

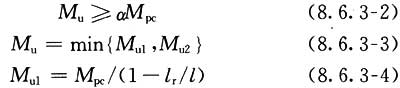
8.6.3 外包式柱脚的设计应符合下列规定:
    1 柱脚轴向压力由钢柱底板直接传给基础,按现行国家标准《混凝土结构设计规范》GB 50010验算柱脚底板下混凝土的局部承压,承压面积为底板面积。
    2 弯矩和剪力由外包层混凝土和钢柱脚共同承担,按外包层的有效面积计算(图8.6.3-1)。柱脚的受弯承载力应按下式验算:

    式中:M——柱脚的弯矩设计值(N·mm);
          As——外包层混凝土中受拉侧的钢筋截面面积(mm2);
          f——受拉钢筋抗拉强度设计值(N/mm2);
          h0——受拉钢筋合力点至混凝土受压区边缘的距离(mm);
          M1——钢柱脚的受弯承载力(N·mm),按本规程第8.6.2条外露式钢柱脚M1的计算方法计算。
    3 抗震设计时,在外包混凝土顶部箍筋处,柱可能出现塑性铰的柱脚极限受弯承载力应大于钢柱的全塑性受弯承载力(图8.6.3-2)。柱脚的极限受弯承载力应按下列公式验算:



图8.6.3-1 斜线部分为外包式钢筋混凝土的有效面积
1-底板

图8.6.3-2 极限受弯承载力时外包式柱脚的受力状态
1-剪力;2-轴力;3-柱的反弯点;4-最上部箍筋;5-外包钢筋混凝土的弯矩;6-钢柱的弯矩;7-作为外露式柱脚的弯矩

    式中:Mu——柱脚连接的极限受弯承载力(N·mm);
          Mpc——考虑轴力时,钢柱截面的全塑性受弯承载力(N·mm),按本规程第8.1.5条的规定计算;
          Mu1——考虑轴力影响,外包混凝土顶部箍筋处钢柱弯矩达到全塑性受弯承载力Mpc时,按比例放大的外包混凝土底部弯矩(N·mm);
          l——钢柱底板到柱反弯点的距离(mm),可取柱脚所在层层高的2/3;
          lr——外包混凝土顶部箍筋到柱底板的距离(mm);
          Mu2——外包钢筋混凝土的抗弯承载力(N·mm)与Mu3之和;
          Mu3——钢柱脚的极限受弯承载力(N·mm),按本规程第8.6.2条外露式钢柱脚Mu的计算方法计算;
          α——连接系数,按本规程表8.1.3的规定采用;
          fyk——钢筋的抗拉强度最小值(N/mm2)。
    4 外包层混凝土截面的受剪承载力应满足下式要求:

    式中:V——柱底截面的剪力设计值(N);
          Vu——外包式柱脚的极限受剪承载力(N);
          be——外包层混凝土的截面有效宽度(mm) (图8.6.3-1b);
          ftk——混凝土轴心抗拉强度标准值(N/mm2);
          ft——混凝土轴心抗拉强度设计值(N/mm2);
          fyv——箍筋的抗拉强度设计值(N/mm2);
          fyvk——箍筋的抗拉强度标准值(N/mm2);
          ρsh——水平箍筋的配箍率;ρsh=Ash/bes,当ρsh>1.2%时,取1.2%;Ash为配置在同一截面内箍筋的截面面积(mm2);s为箍筋的间距(mm)。


图8.6.4-1 埋入式柱脚混凝土的侧向应力分布

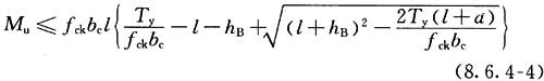
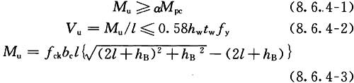
8.6.4 埋入式柱脚的设计应符合下列规定:
    1 柱脚轴向压力由柱脚底板直接传给基础,应按现行国家标准《混凝土结构设计规范》GB 50010验算柱脚底板下混凝土的局部承压,承压面积为底板面积。
    2 抗震设计时,在基础顶面处柱可能出现塑性铰的柱脚应按埋入部分钢柱侧向应力分布(图8.6.4-1)验算在轴力和弯矩作用下基础混凝土的侧向抗弯极限承载力。埋入式柱脚的极限受弯承载力不应小于钢柱全塑性抗弯承载力;与极限受弯承载力对应的剪力不应大于钢柱的全塑性抗剪承载力,应按下列公式验算:

    式中:Mu——柱脚埋入部分承受的极限受弯承载力(N·mm);
          Mpc——考虑轴力影响时钢柱截面的全塑性受弯承载力(N·mm),按本规程第8.1.5条的规定计算;
          l——基础顶面到钢柱反弯点的距离(mm),可取柱脚所在层层高的2/3;
          bc——与弯矩作用方向垂直的柱身宽度,对H形截面柱应取等效宽度(mm);
          hB——钢柱脚埋置深度(mm);
          fck——基础混凝土抗压强度标准值(N/mm2);
          α——连接系数,按本规程表8.1.3的规定采用。
    3 采用箱形柱和圆管柱时埋入式柱脚的构造应符合下列 规定:
        1)截面宽厚比或径厚比较大的箱形柱和圆管柱,其埋入部分应采取措施防止在混凝土侧压力下被压坏。常用方法是填充混凝土(图8.6.4-2b);或在基础顶面附近设置内隔板或外隔板(图8.6.4-2c、d)。
        2)隔板的厚度应按计算确定,外隔板的外伸长度不应小于柱边长(或管径)的1/10。对于有抗拔要求的埋入式柱脚,可在埋入部分设置栓钉(图8.6.4-2a)。



图8.6.4-2 埋入式柱脚的抗压和抗拔构造
1-灌注孔;2-基础顶面

    4 抗震设计时,在基础顶面处钢柱可能出现塑性铰的边(角)柱的柱脚埋入混凝土基础部分的上、下部位均需布置U形钢筋加强,可按下列公式验算U形钢筋数量:
        1)当柱脚受到由内向外作用的剪力时(图8.6.4-3a):

        2)当柱脚受到由外向内作用的剪力时(图8.6.4-3b):

    式中:Mu——柱脚埋入部分由U形加强筋提供的侧向极限受弯承载力(N·mm),可取Mpc
          Ty——U形加强筋的受拉承载力(N/mm2),Ty=Atfyk,At为U形加强筋的截面面积(mm2)之和,fyk为U形加强筋的强度标准值(N/mm2);
          fck——基础混凝土的受压强度标准值(N/mm2);
          a——U形加强筋合力点到基础上表面或到柱底板下表面的距离(mm)(图8.6.4-3);
          l——基础顶面到钢柱反弯点的高度(mm),可取柱脚所在层层高的2/3;
          hB——钢柱脚埋置深度(mm);
          bc——与弯矩作用方向垂直的柱身尺寸(mm)。


图8.6.4-3 埋入式钢柱脚U形加强筋计算简图