6.2 侧向土压力

6.2 侧向土压力

6.2.1 静止土压力可按下式计算:

式中:e0i——计算点处的静止土压力(kN/m2);
      γj——计算点以上第j层土的重度(kN/m3);
      hj——计算点以上第j层土的厚度(m);
      q——坡顶附加均布荷载(kN/m2);
      K0i——计算点处的静止土压力系数。

6.2.2 静止土压力系数宜由试验确定。当无试验条件时,对砂土可取0.34~0.45,对黏性土可取0.5~0.7。

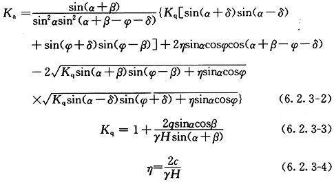
6.2.3 根据平面滑裂面假定(图6.2.3),主动土压力合力可按下列公式计算:

式中:Ea——相应于荷载标准组合的主动土压力合力(kN/m);
      Ka——主动土压力系数;
      H——挡土墙高度(m);
      γ——土体重度(kN/m3);
      c——土的黏聚力(kPa);
      φ——土的内摩擦角(°);
      q——地表均布荷载标准值(kN/m2);
      δ——土对挡土墙墙背的摩擦角(°),可按表6.2.3取值;
      β——填土表面与水平面的夹角(°);
      α——支挡结构墙背与水平面的夹角(°)。

表6.2.3 土对挡土墙墙背的摩擦角δ

挡土墙情况 摩擦角δ
墙背平滑,排水不良 (0.00~0.33)φ
墙背粗糙,排水良好 (0.33~0.50)φ
墙背很粗糙,排水良好 (0.50~0.67)φ
墙背与填土间不可能滑动 (0.67~1.00)φ


图6.2.3 土压力计算

6.2.4 当墙背直立光滑、土体表面水平时,主动土压力可按下式计算:

式中:eai——计算点处的主动土压力(kN/m2);当eai<0时取eai=0;
      Kai——计算点处的主动土压力系数,取Kai=tan2(45°-φi/2);
      ci——计算点处土的黏聚力(kPa);
      φi——计算点处土的内摩擦角(°)。

6.2.5 当墙背直立光滑、土体表面水平时,被动土压力可按下式计算:

式中:epi——计算点处的被动土压力(kN/m2);
      Kpi——计算点处的被动土压力系数,取Kpi=tan2(45°+φi/2)。

6.2.6 边坡坡体中有地下水但未形成渗流时,作用于支护结构上的侧压力可按下列规定计算:
    1 对砂土和粉土应按水土分算原则计算;
    2 对黏性土宜根据工程经验按水土分算或水土合算原则计算;
    3 按水土分算原则计算时,作用在支护结构上的侧压力等于土压力和静止水压力之和,地下水位以下的土压力采用浮重度(γ′)和有效应力抗剪强度指标(c′、φ′)计算;
    4 按水土合算原则计算时,地下水位以下的土压力采用饱和重度(γsat)和总应力抗剪强度指标(c、φ)计算。

6.2.7 边坡坡体中有地下水形成渗流时,作用于支护结构上的侧压力,除按本规范第6.2.6条计算外,尚应按国家现行有关标准的规定计算渗透力。

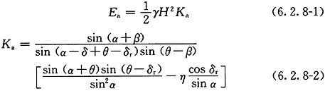
6.2.8 当挡墙后土体破裂面以内有较陡的稳定岩石坡面时,应视为有限范围填土情况计算主动土压力(图6.2.8)。有限范围填土时,主动土压力合力可按下列公式计算:


图6.2.8 有限范围填土时土压力计算

式中:θ——稳定岩石坡面的倾角(°);
      δr——稳定且无软弱层的岩石坡面与填土间的内摩擦角(°),宜根据试验确定。当无试验资料时,可取δr=(0.40~0.70)φ。φ为填土的内摩擦角。

6.2.9 当坡顶作用有线性分布荷载、均布荷载和坡顶填土表面不规则时或岩土边坡为二阶竖直时,在支护结构上产生的侧压力可按本规范附录B简化计算。

6.2.10 当边坡的坡面为倾斜、坡顶水平、无超载时(图6.2.10),土压力的合力可按下列公式计算,边坡破坏时的平面破裂角可按公式(6.2.10-3)计算:

式中:Ea——水平土压力合力(kN/m);
      Ka——水平土压力系数;
      h——边坡的垂直高度(m);
      γ——支护结构后的土体重度,地下水位以下用有效重度(kN/m3);
      α′——边坡坡面与水平面的夹角(°);
      c——土的黏聚力(kPa);
      φ——土的内摩擦角(°);
      θ——土体的临界滑动面与水平面的夹角(°)。


图6.2.10 边坡的坡面为倾斜时计算简图

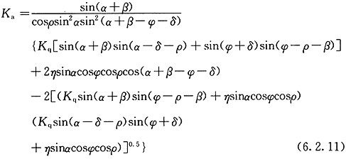
6.2.11 考虑地震作用时,作用于支护结构上的地震主动土压力可按本规范公式(6.2.3-1)计算,主动土压力系数应按下式计算:

式中:ρ——地震角,可按表6.2.11取值。

表6.2.11 地震角ρ

类别 7度 8度 9度
0.10g 0.15g 0.20g 0.30g 0.40g
水上 1.5° 2.3° 3.0° 4.5° 6.0°
水下 2.5° 3.8° 5.0° 7.5° 10.0°