D.1 一般框架梁柱节点

附录D 框架梁柱节点核芯区截面抗震验算

D.1 一般框架梁柱节点

D.1.1 一、二、三级框架梁柱节点核芯区组合的剪力设计值,应按下列公式确定:

    式中:Vj——梁柱节点核芯区组合的剪力设计值;
     hb0——梁截面的有效高度,节点两侧梁截面高度不等时可采用平均值;
     a's——梁受压钢筋合力点至受压边缘的距离;
     Hc——柱的计算高度,可采用节点上、下柱反弯点之间的距离;
     hb——梁的截面高度,节点两侧梁截面高度不等时可采用平均值;
     ηjb——强节点系数,对于框架结构,一级宜取1.5,二级宜取1.35,三级宜取1.2;对于其他结构中的框架,一级宜取1.35,二级宜取1.2,三级宜取1.1;
     ∑Mb——节点左右梁端反时针或顺时针方向组合弯矩设计值之和,一级框架节点左右梁端均为负弯矩时,绝对值较小的弯矩应取零;
     ∑Mbua——节点左右梁端反时针或顺时针方向实配的正截面抗震受弯承载力所对应的弯矩值之和,可根据实配钢筋面积(计入受压筋)和材料强度标准值确定。

D.1.2 核芯区截面有效验算宽度,应按下列规定采用:
    1 核芯区截面有效验算宽度,当验算方向的梁截面宽度不小于该侧柱截面宽度的1/2时,可采用该侧柱截面宽度,当小于柱截面宽度的1/2时可采用下列二者的较小值:

bj=bb+0.5hc          (D.1.2-1)
bj=bc                  (D.1.2-2)

    式中:bj——节点核芯区的截面有效验算宽度;
     bb——梁截面宽度;
     hc——验算方向的柱截面高度;
     bc——验算方向的柱截面宽度。
    2 当梁、柱的中线不重合且偏心距不大于柱宽的1/4时,核芯区的截面有效验算宽度可采用上款和下式计算结果的较小值。

bj=0.5(bb+bc)+0.25hc-e          (D.1.2-3)

    式中:e——梁与柱中线偏心距。

D.1.3 节点核芯区组合的剪力设计值,应符合下列要求:

Vj≤1/γRE(0.30ηjfcbjhj)             (D.1.3)

    式中:ηj——正交梁的约束影响系数;楼板为现浇、梁柱中线重合、四侧各梁截面宽度不小于该侧柱截面宽度的1/2,且正交方向梁高度不小于框架梁高度的3/4时,可采用1.5,9度的一级宜采用1.25;其他情况均采用1.0;
     hj——节点核芯区的截面高度,可采用验算方向的柱截面高度;
     γRE——承载力抗震调整系数,可采用0.85。

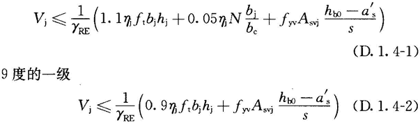
D.1.4 节点核芯区截面抗震受剪承载力,应采用下列公式验算:

    式中:N——对应于组合剪力设计值的上柱组合轴向压力较小值,其取值不应大于柱的截面面积和混凝土轴心抗压强度设计值的乘积的50%,当N为拉力时,取N=0;
     fyv——箍筋的抗拉强度设计值;
     ft——混凝土轴心抗拉强度设计值;
     Asvj——核芯区有效验算宽度范围内同一截面验算方向箍筋的总截面面积;
     s——箍筋间距。